想知道新冠肺炎传播是如何通过数学模型进行预警的吗?
你听过“以蚊治蚊”这种灭蚊黑科技吗?
想了解食物数量和质量是如何影响生态种群发展趋势的吗?
带着这些有趣的问题,
今天我们带您走进生物数学研究团队,
用数学语言解释生物现象背后的秘密。
一、团队基本情况

团队负责人:薛玲教授、博士生导师,生物数学团队学科带头人,黑龙江省重点实验室副主任。2013年获美国堪萨斯州立大学博士学位,2014年至2016年在美国杜兰大学数学系与数学计算科学中心从事博士后研究工作;2016年至2017年获加拿大太平洋数学研究院和加拿大曼尼托巴大学数学系的联合资助,在加拿大曼尼托巴大学数学系从事生物数学的研究工作;2016年来校工作,主要从事生物数学、复杂网络等方面的研究。主持国家自然科学基金项目2项, 参与完成美国国家自然科学基金、美国国家卫生院、美国国土安全部等科研项目多项。在Journal of Differential Equation、SIAM J Appl Math、PloS Neglected Tropical Diseases、Bulletin of Mathematical Biology、Journal of Theoretical Biology、Mathematical Biosciences等SCI 期刊发表论文30余篇。
团队现有2名教授,2名副教授,2名海外兼职教授,2名讲师。

二、科学研究
团队一直与美国、加拿大、澳大利亚、墨西哥等国的该领域的优秀团队合作,共同培养研究生,已发表SCI论文近40篇,团队的主要的研究方向如下:
1.传染病预测预警

新冠肺炎预警平台

COVID-19病例数预测趋势图
2.生态化学计量学理论与应用
基于常微分方程和偏微分方程模拟淡水水生系统中藻类水华的主要诱发机制,阐明水体运动、营养和光照在藻类水华过程中的重要作用,为淡水湖泊中藻类水华暴发的预测与控制提供必要的理论基础和科学依据。

显微镜下浮游藻类细胞

水生生态系统结构图
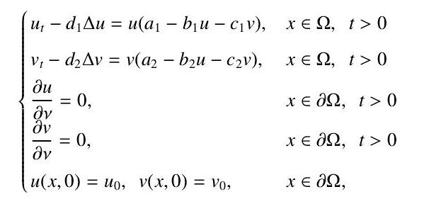
3.非线性椭圆与抛物方程
研究椭圆方程(组)与抛物方程(组)解的存在全局存在唯一性,解的长时间动力学行为,解的分支与稳定性,自由边界问题,行波解问题等。生态学中Logistic 模型,竞争与捕食模型等各种模型的动力学定性分析。

带有齐次 Neumann 边界条件的Lotka-Volterra 竞争模型
4.统计分析

探究登革热发病率与气候变化的关系
三、联系我们
欢迎对本团队感兴趣的同学以及海内外博士、访问学者加入!团队每年招收1-3名博士研究生,4-8名硕士研究生。本科生如果想提前进入团队学习,请联系团队成员。联系方式如下:
薛 玲 教 授:lxue@hrbeu.edu.cn
柴艳有 副教授:chaiyanyou@hrbeu.edu.cn
孙 薇 副教授:sunweihit@hrbeu.edu.cn
荣鑫淼 讲 师:rongxm@hrbeu.edu.cn
廉春波 讲 师:lianchunbo@hrbeu.edu.cn